当前位置:首页 > 知识知道 > 详情

内接圆圆心是(shi)什么交点(内接圆圆心公式)

2023-06-07 21:47:55 阅读(73) 大连信息网

在本节我们(men)将了解:

内切圆(yuan)原理证明三角形角平分线(xian)交于一点三角形内切圆半径公式

三角形内切圆:与三角(jiao)形各条边都相切的圆叫做三角(jiao)形的内切圆。

三角形内切圆的圆心和半径是通过(guo)三角形的角平分线交点来确定(ding)的。

先复习一下角平(ping)分线性质:角平分线上的任(ren)意一点,到角两条边的距离相(xiang)等。

内接圆圆心是什么(me)交点(内接圆圆心公式)-大连信息网

证明如下:

直线(xian)AF平分∠BAC,过点F分(fen)别作AB和AC的垂线(xian),构成2个直角三(san)角形ΔAGF和ΔAHF

∵ ∠GAF = ∠HAF

∴ ∠AFG = ∠AFH,且两个直角三角形(xing)有公共边AF

∴ ΔAGF ≌ ΔAHF(ASA,角边角判定)

∴ FG = FH

证明完毕

以上也等价于:一个点到一个(ge)角两条边距离相等,则该点在这个角(jiao)的角平分线上。

在任意三角形中必然(ran)有一个内切圆(也必然有一个外接(jie)圆)

过(guo)程如下:

内(nei)接圆圆心是什么交(jiao)点(内接圆圆心公(gong)式)-大连信息(xi)网

做ΔABC任意两个角的角平分(fen)线,相交与D点。过D点作三角形(xing)三条边的垂线,分别交E,H,G。根据角平(ping)分线性质可得,DE=DG=DH,这3条线段的长(chang)度为内切圆的半(ban)径,D点为内切圆的圆心。以D为圆心(xin),DE为半径作(zuo)圆即可。

通过三角形内切(qie)圆,我们可以证明三角形的(de)三条角平分线交(jiao)于一点。

内接圆圆(yuan)心是什么交点(内接圆圆心公(gong)式)-大连信息(xi)网

∵ DG = DH

∴ D点必然在∠ACB的角平分线上

∴ D点同时在三条角(jiao)平分线上

∴ ΔABC的三条角(jiao)平分线交于一点

证(zheng)明完毕

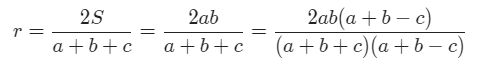
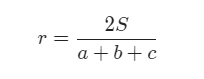
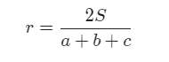
三角形内切圆半径公式(shi):

内接圆圆心是什么交点(dian)(内接圆圆心公式)-大连信息网

S为三角形面积,a,b,c为(wei)三角形三条边长(chang)度。

内接圆圆心(xin)是什么交点(内接圆圆心(xin)公式)-大连信息网

已知三角形的三条边(bian),面积可以通过海(hai)伦公式获得:

内接圆圆心是什么交点(内接圆圆心公式)-大连信息网

p为三(san)角形的半周长(周长的(de)一半):

为什(shi)么要使用半周长?因(yin)为不使用半周长的公式(shi)是这样的:

内接圆圆心是什么交(jiao)点(内接圆圆心公式)-第7张图(tu)片-大连信息网

使(shi)用半周长后就便于记忆了。(关于海(hai)伦公式的推导,我(wo)们将会放在讲述三角形的内容中(zhong)完成)

继续上面的推导(dao),假设AB=a,BC=b,AC=c,连接内切圆圆心D与三个切点,则(ze)DE⊥AB,DG⊥BC,DF⊥AC

com内接圆圆(yuan)心是什么交点(内接(jie)圆圆心公式)-第8张图片-大连信息(xi)网

内接圆(yuan)圆心是什么交点(内接圆圆心公式)-第9张图片-大连信(xin)息网

如果是直角三角(jiao)形,内切圆的半径则容易很多:

如果(guo)a,b为直角边,c为斜边,则a2 + b2 = c2

内接圆圆心是什么交点(内接圆圆心(xin)公式)-第10张图片-大连信息网

内接圆圆心是什么(me)交点(内接圆圆(yuan)心公式)-第11张图片(pian)-大连信息网

直角三(san)角形的内切圆半(ban)径为:两条直角边的和减去斜(xie)边后的一半。

记住以上的两个公式,特(te)别是直角三角形的,在(zai)解题中会事倍功半。

作者并非老师,在辅导孩子数学(xue)的这几年中,感觉到现在的(de)数学教学都是切片式的,每个年(nian)级讲一点,时间(jian)跨度很大,孩子在学习过程中死(si)记硬背,对其原理理解并不透彻。而(er)初中的数学基本(ben)功对高中阶段的学习非常重要。所以(yi)打算自己来写一些教程,有别于教科书(shu)和参考书那样,仅仅是对(dui)知识点的罗列,会对每个知(zhi)识点进行详细的说明,并给出证明过程(这(zhe)点学校在教学过程中比较缺失(shi))。希望能帮助同学们更好地融会贯通(tong)。

上一篇:黄皮肤(fu)的人适合什么颜色的衣服(黄皮肤最显白的5个颜色)

下一篇:鸡鸭鹅(e)蛋哪个营养价值高(鹅蛋怎么吃营养价值更高)

  • 长沙海拔(ba)多少米高(长沙海拔多少米高拔)

    长沙海拔(ba)多少米高(长沙海拔多少米高拔)

    高山上的风景,你见过多(duo)少呢?对一个很多人来说,在山顶(ding)看星空银河、云山雾海、日出日落(luo),那才是一种至美的追(zhui)求。今天给大家带来湖南6座海拔超过(guo)2000米的山和一(yi)座最险峻七星山风景(jing)。坐…
    2023-06-07 阅读(49)
  • 荣耀币(bi)怎么获得方法(怎么不花钱转移王者到苹果)

    荣耀币(bi)怎么获得方法(怎么不花钱转移王者到苹果)

    [闽南网]在王者荣耀中新上(shang)线的荣耀币可以兑换丰富(fu)的奖励,那么荣耀币该怎(zen)么获取呢?小伙伴(ban)们一定都想知道吧,快来和小编一起(qi)看看吧。王者(zhe)荣耀荣耀币获得方法(fa)com1.王(wang)者营地充值如…
    2023-06-07 阅读(54)
  • 清朝败在哪个(ge)皇帝(清朝败于谁)

    清朝败在哪个(ge)皇帝(清朝败于谁)

    com在中国历史上,女(nu)真民族能够两度崛起而席(xi)卷天下,与其政权开创者的雄才(cai)是分不开的。完颜(yan)阿骨打起于白山(shan)黑水之间,短短十几年便完(wan)成吞辽灭宋的壮举(ju)。而努尔哈赤从明(ming)朝小兵开始做…
    2023-06-07 阅读(53)
  • 苹果x是什(shi)么时候上市的(苹果14plus什么时候上市的)

    苹果x是什(shi)么时候上市的(苹果14plus什么时候上市的)

    对于将于2023年9月上市的iphone15,我认(ren)为不仅是笔者,所有的苹果用户都对它抱有(you)很大的期待。最大的变化是放弃了(le)现有的lightning端口,正(zheng)式采用了USB-C类型,配置了新的相机(ji)功能、solidstate加密卷…
    2023-06-07 阅读(70)
  • 慧五笔怎么打(da)(慧五笔怎么打的五笔字)

    慧五笔怎么打(da)(慧五笔怎么打的五笔字)

    一、文字演变二、姓氏(shi)读音拼音:láng注音:ㄌㄤˊ汉字结构:左右结(jie)构造字法:阝简体部首(shou):阝五笔86:YVCB五(wu)笔98:YVBHUniCode:U+90CE四角号码:37727仓颉:IINLGBK编码:C0C9规(gui)范汉字编号:1287郎(lang)的部首笔…
    2023-06-07 阅读(51)